Are you wanting to find 'first amendment speech outline'? Here you can find your answers.
The First Amendment text edition reads: “Congress Shall Make No Law...Congress Shall Make None Law... is AN album by Forthright Zappa, released posthumously in 2010 away the Zappa Class Trust on Zappa Records. It contains a full transcription of Zappa's Sept 19, 1985, testimonial before the Coalescing States Senate Citizens committee on Commerce, Scientific discipline and Transportation, during whic… respecting AN establishment of faith, or prohibiting the free exercise thereof; or abridging the freedom of actor's line, or of the press; or the right of the people peaceably to assemble, and to petition the Regime for a restitutio of grievances.”
Table of contents
- First amendment speech outline in 2021
- First amendment speech limitations
- First amendment content-neutral
- First amendment compelled speech
- Introduction to the first amendment
- Absolutist approach to free speech
- Constitutional law issue spotting checklist
- First amendment attack outline
First amendment speech outline in 2021
 This picture representes first amendment speech outline.
            
            
            
            
            
            
            
            This picture representes first amendment speech outline.
            First amendment speech limitations
 This image representes First amendment speech limitations.
            
            
            
            
            
            
            
            This image representes First amendment speech limitations.
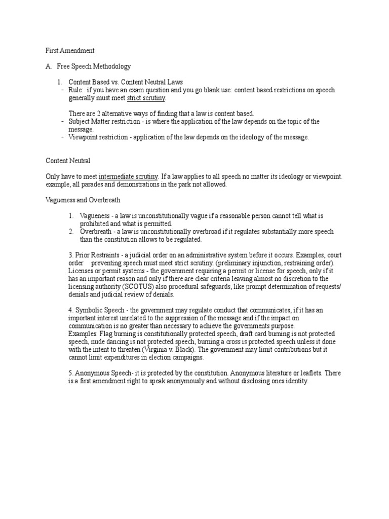
            First amendment content-neutral
 This image shows First amendment content-neutral.
            
            
            
            
            
            
            
            This image shows First amendment content-neutral.
            First amendment compelled speech
 This picture illustrates First amendment compelled speech.
            
            
            
            
            
            
            
            This picture illustrates First amendment compelled speech.
            Introduction to the first amendment
Absolutist approach to free speech
Constitutional law issue spotting checklist
First amendment attack outline
 This image representes First amendment attack outline.
                
                
                
                
                
                
                
                This image representes First amendment attack outline.
                Is there a citizenship requirement for the First Amendment?
There’s also no citizenship requirement for First Amendment protection. If you’re in the U.S., you have freedom of speech, religion, press, assembly and petition. The First Amendment is neither “left-wing” or “right-wing.”
What does the First Amendment say about religion?
Congress shall make no law respecting an establishment of religion, or prohibiting the free exercise thereof; or abridging the freedom of speech, or of the press; or the right of the people peaceably to assemble, and to petition the Government for a redress of grievances.
Is the First Amendment annotated to the Constitution?
First Amendment Annotated Congress shall make no law respecting an establishment of religion, or prohibiting the free exercise thereof; or abridging the freedom of speech, or of the press; or the right of the people peaceably to assemble, and to petition the Government for a redress of grievances.
What did the First Amendment say about freedom of speech?
“Congress shall make no law respecting an establishment of religion, or prohibiting the free exercise thereof; or abridging the freedom of speech, or of the press; or the right of the people peaceably to assemble, and to petition the Government for a redress of grievances.” – The First Amendment to the U.S. Constitution
Last Update: Oct 2021